Монтаж, Наладка и Эксплуатация автоматических устройств в деревообрабатывающей промышленности, ремонт дома, квартиры, дачи и офиса, мебель и многое другое!
Чертежи
Termometri.jpg
Termometri
Наши партнеры
Популярные статьи
Комментарии
Облако тегов

Автоматические устройства

Воскресенье, 28 Октябрь 2012 11:05

Описание нелинейной системы с использованием амплитудной характеристики нелинейного звена

Автор 
Оцените материал
(1 Голосовать)

Используя амплитудную характеристику нелинейного звена можно описать функциональные связи между сигналами в обобщенной структуре нелинейной системы (рис. 77).




Линейная часть нелинейной системы описывается передаточной функцией Wл(p)  линейной части, по которой можно определить частотную передаточную функцию линейной части, используемую в частотных методах исследования динамических систем,

 Структура нелинейной системы

ф199


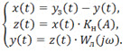
Нелинейное звено описывается амплитудной характеристикой Kн(A) нелинейного звена. Используя эти описания, для нелинейной системы составим систему уравнений, связывающих сигналы в нелинейной системе

 

ф200


В отличие от метода фазовых траекторий в данном случае отсутствуют ограничения на порядок описываемой системы, что является преимуществом амплитудно–частотного метода.  Однако амплитудно–частотный метод применим только в том случае, когда для функции выходного сигнала нелинейного звена существует разложение в ряд Фурье, и может быть найдена амплитудная характеристика нелинейного звена.


Решили продать дом, машину или иную бытовую технику, теперь это стало легко.  вы можете на сайте Sindom.ru.


Прочитано 1552 раз Последнее изменение Воскресенье, 27 Сентябрь 2015 11:19
Другие материалы в этой категории: « Общие положения. Подготовка производства

Оставить комментарий

Убедитесь, что вы вводите (*) необходимую информацию, где нужно
HTML-коды запрещены