
В этом случае квантованный сигнал можно описать следующим образом

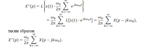
Найдем изображение Лапласа для квантованного сигнала

В итоге мы получили описание связи между входным квантуемым сигналом и выходным квантованным сигналом для простейшего импульсного элемента. При этом квантованный сигнал можно описать либо через решетчатую функцию квантуемого сигнала, либо через Лапласово изображение этого сигнала.