Для исследования нелинейных систем в теории автоматического управления разработаны и используются частные методы, каждый из которых обладает определенными возможностями и эффективен в некоторой ограниченной области задач исследования. Наибольшее применение находят метод фазовых траекторий и амплитудно–частотный метод (метод гармонической линеаризации). Оба эти метода будут рассмотрены далее.
Метод фазовых траекторий заключается в том, что поведение исследуемой нелинейной системы рассматривается и описывается не во временной области (в виде уравнений процессов в системе), а в фазовом пространстве системы (в виде фазовых траекторий).
Состояние нелинейной системы автоматического управления характеризуется с использованием фазовых координат системы
![]()
задающих вектор состояния системы в фазовом пространстве системы
Y (y1, y2, y3,...yn).
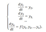
При введении в рассмотрение фазовых координат нелинейное дифференциальное уравнение порядка n для свободного процесса в нелинейной системе
![]()
преобразуется к системе из n дифференциальных уравнений первого порядка
В ходе процесса в системе фазовые координаты yi изменяются и вектор состояния системы Y описывает годограф в n– мерном фазовом пространстве системы (рис. 56). Годограф вектора состояния (траектория движения изображающей точки M, соответствующей концу вектора) есть фазовая траектория системы. Вид фазовой траектории однозначно связан с характером процесса в системе. Поэтому о свойствах нелинейной системы можно судить по ее фазовым траекториям.
Уравнение фазовой траектории может быть получено из приведенной выше системы уравнений первого порядка, связывающих фазовые координаты и учитывающих свойства системы, путем исключения времени. Фазовая траектория не отображает время процессов в системе.

Связь между фазовой траекторией y(x) и процессом x(t) поясняет рис. 57. Фазовая траектория построена в фазовых координатах 0XY, где x – выходная величина системы, y – скорость изменения выходной величины (первая производная x’). Переходный процесс x(t) построен в координатах x–t (выходная величина – время).
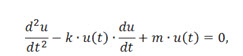
Пример. Рассмотрим в качестве примера систему, свободный процесс в которой описывается дифференциальным уравнением второго порядка

где u(t) выходная величина системы.
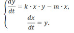
Введем в рассмотрение фазовые координаты x=u(t) и y=du/dt. Теперь систему можно описать с учетом фазовых координат

Чтобы получить уравнение фазовой траектории из приведенной системы уравнений необходимо исключить время. В рассматриваемом случае это можно сделать, разделив первое уравнение на второе
![]()
В результате получено дифференциальное уравнение первого порядка, функция решения которого y(x)+C, где C – постоянная интегрирования, описывает фазовую траекторию. Порядок полученного дифференциального уравнения ниже порядка исходного уравнения для процесса в системе, следовательно, решить это уравнение проще.
Фазовая траектория описывается дифференциальным уравнением, решения которого содержат постоянные интегрирования. Постоянные интегрирования зависят от начального состояния исследуемой системы в момент воздействия возмущения. Следовательно, система описывается множеством подобных фазовых траекторий, построенных для разных начальных условий и отличающихся разными значениями постоянной интегрирования C (рис. 58). Эта совокупность фазовых траекторий, построенных для системы при разных начальных условиях, получила название фазового портрета системы.
При использовании метода фазовых траекторий для исследования нелинейных систем необходимо строить и исследовать фазовые траектории. Практическое графическое построение фазовой траектории возможно только на фазовой плоскости, т.е. в случае описания исследуемой системы только двумя фазовыми координатами.
Указанное обстоятельство ограничивает возможность применения метода фазовых траекторий системами второго порядка. В случае описания исследуемой системы дифференциальным уравнением выше второго порядка, это уравнение приходится упрощать и сводить к уравнению второго порядка, что неизбежно ведет к возрастанию погрешности исследования.