![]()
где S(p) – передаточная функция формирующей цепи, Wн(p) – передаточная функция непрерывной части импульсной системы.
Простейшее импульсное звено в структуре учитывает квантование сигнала по времени с интервалом T. Интервал квантования T является параметром импульсного звена, влияющим на свойства замкнутой импульсной системы.
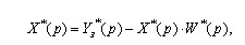
Уравнение замыкания импульсной системы x(t)=y3(t)-y(t), можно переписать для области изображений Лапласа, т.к. уравнение линейно, X(p)=Y3(p)-Y(p).
Изображение выходного сигнала системы

где W(p) - передаточная функция приведенной непрерывной части системы, X*(p) – изображение квантованного сигнала.
С учетом выражения для выходного сигнала уравнение замыкания примет вид
![]()
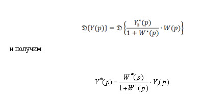
Поскольку уравнение содержит как непрерывные изображения Лапласа, так и дискретные, подвергнем его дискретному D-преобразованию
![]()
С учетом свойств дискретного преобразования Лапласа получим
![]()
откуда можно определить дискретное изображение ошибки системы

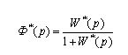
Полученное выражение является выражением для ошибки импульсной системы. Импульсная система при этом описана передаточной функцией W*(p), которая получила название «дискретная передаточная функция разомкнутой системы». Дискретная передаточная функция разомкнутой импульсной системы W*(p) описывает динамические свойства разомкнутой импульсной системы с учетом квантования сигнала по времени и модуляции квантованным сигналом импульсов определенной формы.
Изображение выходного сигнала импульсной системы с учетом полученного выражения для изображения ошибки примет вид

Для приведения выражения к однородному виду подвергнем его D-преобразованию

Выходная величина системы выражена через дискретную передаточную функцию разомкнутой системы. Характеристика
получила название «дискретная передаточная функция замкнутой импульсной системы». Сигналы в замкнутой импульсной системе выражаются через дискретную передаточную функцию замкнутой импульсной системы

Дискретная передаточная функция замкнутой импульсной системы позволяет описать процесс в системе (через дискретные изображения сигналов)

Приведенные зависимости позволяют получить изображение выходного сигнала замкнутой импульсной системы и ее ошибки. При определении ошибки в замкнутой импульсной системе можно использовать полученное выше выражение

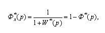
На основе этого выражение вводится определение «дискретной передаточной функции замкнутой импульсной системы по ошибке»

где Фх(р)– дискретная передаточная функция по ошибке замкнутой импульсной системы.
Рефераты по праву, любые темы!